
eISSN: 2093-8462 http://jesk.or.kr
Open Access, Peer-reviewed
Taewoo Nam
, Keunook Kwon
, Keunyeong Kwon
, Dahae Park
, Yihun Jeong
10.5143/JESK.2025.44.6.881 Epub 2026 January 05
Abstract
Objective: This study aims to improve kiosk usability for younger and older adults by conducting three tasks under different conditions of information presentation and assistance function availability and analyzing the results.
Background: The increasing prevalence of kiosks in contactless environments following the COVID-19 pandemic has improved efficiency but also revealed usability barriers for older adults. While previous research has explored older adults in kiosk, most studies have been confined to single and specific service contexts (fast food kiosk or café kiosk) or focused only on visual interfaces. This study addresses these limits by including various service types and defining modality conditions that combined information presentation and assistance function availability.
Method: Forty participants (20 younger adults, 19~34; 20 older adults, ≥65) completed 12 trials combining three kiosk tasks (civil affair documents machines, fast-food kiosk, and ATM) with four modality conditions defined by information presentation (visual only vs. visual and auditory) and assistance function (off vs. on). Outcomes about usability included completion time, error count, and subjective workload (NASA-TLX). We conducted independent-samples t-tests for the current kiosk (visual-only, no assistance) and a two-way mixed ANOVA with Age (between) × Modality (within).
Results: Across tasks, older adults showed longer completion times, higher error counts, and greater perceived workload than younger adults. In main effects of age, older adults showed higher completion times, error counts, and effort scores than younger adults across all tasks. Main effects in modality were limited overall; however, in the civil affair documents machines and ATM tasks, visual and auditory presentation tended to decrease workload relative to visual-only. Interaction effects of age and modality was significant for frustration in the fast-food kiosk task and for effort in the ATM task.
Conclusion: The findings confirm that multimodal information presentation and assistance function can alleviate cognitive demands and improve accuracy, particularly for older users. These results emphasize the need for interface designs that accommodate age-related perceptual and cognitive features.
Application: This study provides empirical evidence supporting the design of inclusive self-service systems. Integrating visual–auditory information presentation and assistance function can enhance accessibility and reduce errors for younger and older adults, contributing to more equitable and user-centered service environments.
Keywords
Kiosk Older adults Usability Modality Cognitive workload NASA-TLX Universal design
코로나19 팬데믹 이후 사람 간 접촉을 최소화하고 비대면 방식을 채택하기 위한 수단으로 키오스크 사용이 급격히 증가하였으며, 4차 산업혁명 시대의 도래와 IT 기술의 발전은 다양한 서비스 분야에서 키오스크 도입을 가속화하였다(Shin et al., 2022). 키오스크는 대면 접촉과 주문 과정을 최소화하고, 인건비를 절감시킨다는 이점을 제공하며, 고객의 주문 패턴과 행동 데이터를 수집하여 이를 경영 전략 수립에 활용할 수 있다는 점에서 중요한 가치가 있다(Kim et al., 2023). 그러나 이러한 장점에도 불구하고 키오스크 사용 과정에서 여러 문제점이 제기되고 있으며, 특히 고령자가 직면하는 어려움은 대표적인 한계로 지적된다. 고령자는 화면의 작은 글씨를 식별하기 어렵고(Chung, 2022; Hagen and Sandnes, 2010), 조작 순서를 이해하는 데 혼란을 겪으며(Barnard et al., 2013; Chung, 2022), 장시간 서서 이용하는 과정에서 신체적 부담을 크게 느낀다(Chung, 2022; Park, 2019).
키오스크 사용에 불편함을 느끼는 고령층에 대한 연구가 활발히 진행되었다. Shin et al. (2023)은 60세 이상 고령자 10명과 20~39세 청년층 10명을 대상으로 키오스크 사용 시 시선 이동을 분석한 결과, 고령자는 청년층에 비해 원하는 버튼을 찾는 데 더 오랜 시간이 소요되었으며, 화면 전환이나 카테고리 변경 과정에서 어려움을 겪는 것으로 나타났다. 또한, 아이콘과 작은 버튼의 사용으로 집중력이 떨어지며 시선이 분산된다는 결과를 도출했다. Nam et al. (2023)은 60~79세 고령자 100명을 대상으로 패스트푸드점 키오스크 사용 경험을 분석하여, 불편 요인을 세분화하고 문헌 고찰을 통해 그 원인을 규명한 뒤 개선 방안을 제안하였다. 고령자의 심리적 요인을 고려하여 키오스크 사용 경험을 개선하기 위해, Jeong and Yu (2022)는 만 60대 이상 7명과 키오스크 교육 담당자 3명을 대상으로 과거 연구를 통해 키오스크의 사용자 경험을 세분화한 UX 프레임워크를 만들어 인터뷰를 진행하였고, 키오스크 교육 현장을 직접 관찰하였다. 이를 통해 세분화된 문제점을 파악하여 각 문제점에 대해 해결책을 제시하였다. Lim and Park (2022)의 연구는 65~75세의 고령층 11명을 대상으로 실험을 진행하였다. 무인 주문 시스템인 키오스크, 태블릿, QR코드 3개를 선정하여 햄버거를 주문하는 과정 총 5가지 과업과 사용자 경험 평가 요소를 5가지(인지적 요소, 심리적 요소, 환경적 요소, 사회적 요소)로 나눈 사후 인터뷰를 통해 고령자의 키오스크 사용성을 파악하였다. Kim and Nam (2021)은 KFC 매장을 대상으로 고령층의 키오스크 경험을 분석하였다. 65세~79세의 고령층 5명을 대상으로 실험을 진행하였고, 키오스크를 소프트웨어와 하드웨어 측면으로 나누어 사용자 경험을 평가하였다. 이번 연구를 통해 소프트웨어 측면으로는 슬라이드형 레이아웃과 시니어 모드를 통해 고령층의 사용성을 향상시키려는 개선안을 도출하였고, 하드웨어 측면으로는 각도 조절이 가능한 화면과 보조 LCD 및 조작 버튼을 추가하는 개선안을 도출하였다.
앞서 언급한 과거 연구는 고령층의 키오스크 사용성에 관한 분석을 통해 시사점을 제시하였고, 키오스크 설계 시 참고해야 할 가이드라인을 도출하였다는 점에서 키오스크 연구에 많은 기여를 하였다. 하지만 패스트푸드점이나 카페와 같은 특정 서비스 환경에 국한되어 실험을 진행했으며, 무인민원발급기나 금융 서비스 키오스크 등 다양한 상황을 충분히 반영하지 못했다. 또한 시각적 정보 전달에 초점을 둔 키오스크에만 집중하였으며, 인공지능 기반 보조 기능이나 시각과 청각을 결합한 멀티모달 정보 제공 방식과 같은 향후 발전된 형태의 키오스크에 대해서는 충분히 고려하지 않았다.
따라서 본 연구는 청년층과 고령층 모두의 사용성을 비교하였고, 정보 제공 방식(시각, 시각+음성)과 도움말 기능 유무를 조합한 네 가지 모달리티 조건을 설정하였다. 또한 패스트푸드 주문과 같은 단일 상황을 넘어, 무인민원발급기, 금융 서비스 등 실제 현장에서 마주할 수 있는 다양한 상황을 반영하기 위해 세 가지 키오스크 과업을 설계하여 실험을 진행하였다. 이를 통해 연령대별 특성과 모달리티 조건에 따른 사용성 차이를 규명하고, 향후 다양한 서비스 환경에서 고령층을 포함한 사용자 친화적 키오스크 설계를 위한 실질적인 가이드라인을 제공하고자 한다.
2.1 Participants
고령자의 비대면 서비스 사용성 향상에 관한 인간공학 연구에는 청년층 20명, 노년층 20명으로 총 40명이 실험에 참가하였다. 청년층은 만 19~34세 이하(평균: 22.60, 표준편차: 1.57, 남성 10명, 여성 10명, 총 20명), 고령층은 만 65세 이상(평균: 71.10, 표준편차: 5.06, 남성 10명, 여성 10명, 총 20명)을 기준으로 참여 인원을 선정하였다. 또한, 연구 대상자는 근골격계 질환(무릎, 요추, 어깨, 목, 팔, 손 등) 및 정신 질환(장애)이 없는 신체/정신적으로 건강한 성인 남녀를 모집하였다. 이 중 최근 3개월 동안 키오스크 서비스를 이용한 경험이 있는 자만 모집하였으며 키오스크 서비스 경험이 전혀 없는 자는 이번 연구에서 제외하였다. 본 연구는 계명대학교의 생명윤리위원회의 승인을 받고 진행되었다(승인번호: 40525-202307-HR-025-02).
2.2 Experimental conditions
본 연구는 비대면 서비스 중 키오스크의 사용성을 평가하기 위해 청년층과 고령층 두 연령 집단으로 나누어 실험을 구성하였다. 모달리티 조건 4가지(Table 1)와 무인민원발급기, 패스트푸드 키오스크, ATM 총 3가지의 과업으로 구성하여 총 12번의 과업이 수행되도록 하였다.
모달리티는 도움말 기능 제공 유무와 시각 및 청각적 정보 제공에 따라 총 4가지로 정의하였다(Table 1). 도움말 기능은 실험 참여자가 직접 버튼을 누르거나 4초 이상 별다른 조작이 없을 경우 실행되었다. 이때 4초의 대기 시간은 예비 실험을 통해 파악된 시각적 탐색 및 정보 처리 속도를 근거로 설정하였다. 즉, 4초 이상 반응이 없는 경우를 사용자가 다음 단계 진행에 어려움을 겪는 상태로 간주하였다. 도움말 기능이 실행되면, 실험 진행자는 실험 참여자의 도움 요청 사항에 대해 육성으로 안내하였다(Figure 1). 이때 실험 참여자 간의 편차를 줄이고 안내의 일관성을 확보하기 위해, 사전 훈련된 실험 진행자가 모든 세션을 전담하여 진행하였다. 또한, 도움말 안내는 실험 참여자가 당면한 문제를 해결하는 방법에 대한 설명으로 제한하였다. 이 기능은 AI와 음성으로 대화를 주고받는 멀티턴 방식의 키오스크가 도입될 때를 가정하여 이와 유사한 상황으로 구성하였다. 시각적 정보만 제공되는 경우, 단순히 키오스크 화면만 보고 과업을 수행하는 것이며, 시각적 정보와 청각적 정보가 함께 제공되는 경우는 키오스크 과업을 수행하는 동안 화면 터치에 따른 음성 설명이 함께 제공된다. 모달리티 1과 2는 시각적 정보만 제공되는 반면 모달리티 3과 4는 시각적 정보와 청각적 정보가 함께 제공되며, 도움말 기능은 모달리티 2와 4에서만 사용 가능하도록 하였다. 이번 실험을 위하여 서초톡톡C(서초구 키오스크 교육용 체험앱[Seocho-gu, Korea])을 태블릿(iPad Pro 11 [Apple Inc., USA])에 설치하여 진행하였다.
|
Modality |
Assistance provided |
Visual / Auditory info
provided |
|
1 |
Not provided |
Visual Only |
|
2 |
Provided |
Visual Only |
|
3 |
Not provided |
Visual + Auditory |
|
4 |
Provided |
Visual + Auditory |
2.2.1 Description of civil affair documents machines
무인민원발급기 과업은 주민등록번호를 입력하고 지문 인식 과정을 거쳐 주민등록본(초본)을 발급하는 과정으로, 총 8단계로 구성하였다(Figure 2). 실험 참여자는 발급 과정 중 증명서 유형, 포함 내용, 수수료 면제 유무, 발급 부수와 같은 세부 항목을 선택해야 하며, 이 항목은 무작위로 배정되었다. 선택 과정은 8단계 중 3, 6, 7, 8번째 단계에서 수행되도록 설정하였다(Table 2 and Figure 2). 각 항목은 여러 유형 중 하나만 선택하도록 하여, 항목의 차이가 소요 시간에 영향을 주지 않도록 통제하였다.
|
Experimental variable |
Detail of variable |
|
Type of certificate |
Resident registration certificate (copy), Resident registration
certificate (abstract) |
|
Included information |
8 conditions in total, including personal detail changes and past
address changes and etc. |
|
Fee exemption |
Fee exemption for eligible persons, Fee not exemption for others |
|
Number of copies |
Select between 1 and 9 copies |
2.2.2 Description of fast food kiosk
패스트푸드 주문 과업의 경우 메인 메뉴 2개와 사이드 메뉴 1개를 주문하여 결제까지 하는 과정이 총 9단계로 나누어져 진행된다(Figure 3). 일관된 난이도 설정을 위해 주문 항목을 메인 메뉴 2개와 사이드 메뉴 1개로 구성하였다. 실험 참여자는 실험 지시에 따라 식사 여부, 메인 메뉴, 세트 여부, 세트 세부사항, 사이드 메뉴의 세부 항목을 다르게 선택하였다. 각 실험 참여자에게 부여된 선택 항목은 무작위로 배정되었으며, 항목이 달라지더라도 소요 시간에 영향을 주지 않도록 화면 터치 횟수를 동일하게 설계하였다(Table 3).
|
Experimental |
Detail of variable |
|
Meal option |
Dine-in, Take-out |
|
Main menu |
4 options: Double patty burger, Chicken patty burger, Healthy
cheese burger, Tomato cheese burger |
|
Set type |
Regular set, Large set |
|
Set details |
Choose 1 item from the side menu (French fries, onion rings,
cheese sticks) and 1 drink (soda, juice, coffee) |
|
Side Menu |
Select between French Fries and Cheese Sticks |
2.2.3 Description of automated teller machine (ATM)
ATM 과업의 경우 입금 은행 및 입금 계좌를 입력하고, 비밀 번호를 입력하여 계좌 송금을 수행하는 과정으로 총 11단계로 구성되어있다(Figure 4). 3가지 과업 중 실험 과정이 가장 길며 과업의 난이도를 고려하여 세부 선택 항목을 총 4가지로 구성하였다. 각 실험 참여자는 은행, 계좌번호, 송금 금액, 비밀 번호를 이전 실험 참여자와 다르게 선택하거나 입력하도록 설계하였고, 은행 선택은 5번째, 계좌번호 입력은 6번째, 송금 금액 입력은 7번째, 비밀 번호 입력은 9번째에 수행되도록 하였다(Table 4). 각 실험 참여자가 다른 항목을 선택하더라도 실험 결과에 영향을 주지 않도록 화면을 터치하는 횟수가 동일하도록 설정하였다.
|
Experimental variable |
Detail of variable |
|
Experimental variable |
Detail of variable |
|
Bank |
Choose a
bank of ten banks: Kookmin Bank, Nonghyup Bank, Industrial Bank of Korea,
Shinhan Bank, Woori Bank, Korea Development Bank, SC Bank, Hana Bank, Citi
Bank, Post Office Bank |
|
Account number |
A 7-digit number chosen randomly |
|
Transfer amount |
A 7-digit number chosen randomly |
2.3 Experimental procedure
실험 참여자는 실험을 시작하기 전 연구 배경 및 목적, 연구 참여 절차 및 방법에 대한 충분한 설명 들은 후에 동의서 및 사전 설문지를 작성하였다. 이후 약 10분 정도의 사전 연습을 진행하였으며, 각 과업이 끝날 때마다 1분 이상의 휴식을 취한 뒤 다음 과업을 수행하도록 하였다. 본 실험은 무인민원발급기, 패스트푸드 주문, ATM을 포함한 키오스크 상황 3가지와 4가지 모달리티 조건을 조합하여 총 12번의 과업이 진행되고, 과업 순서를 무작위로 구성하여 중복된 조합이 없도록 구성하였다.
과업이 끝날 때마다 완료시간(Completion time)과 오류 횟수(Error count)를 측정하여 각 과업의 객관적 차이를 나타내는 평가 항목으로 이용하였다. 또한, NASA-TLX 평가지(Hart and Staveland, 1988)를 활용하여 정신적 요구(Mental demand), 시간적 요구(Temporal demand), 신체적 요구(Physical demand), 노력(Effort), 좌절감(Frustration), 성취도(Performance) 총 6가지 항목을 측정하여 주관적 작업 부하를 평가하는데 이용하였다. 앞서 말한 6가지 항목은 0에서 100점까지 구성되어 있으며 높은 점수일수록 과업 수행 동안 더 높은 작업 부하를 느꼈거나 부정적 경험의 정도가 더 높았음을 의미한다. 성취도 항목은 앞서 말한 평가 방법과 같이 점수가 높아짐에 따라 성취 수준이 낮았음을 의미한다.
2.4 Statistical analysis
본 연구에서는 연령 집단(청년층, 고령층) 및 모달리티에 따른 키오스크 사용성을 통계적으로 분석하기 위해 독립 표본 t-test (independent samples t-test), 이원 혼합설계 분산분석(two-way mixed ANOVA)를 실시하였다. 독립 표본 t-test는 현재 사용되고 있는 기본 키오스크(모달리티 1)을 대상으로 두 연령 집단 간 사용성을 비교하기 위해 수행되었다. 이는 현행 키오스크 환경에서 고령층과 청년층 간의 사용성 격차를 확인하고, 기존 인터페이스가 가진 한계와 문제점을 명확히 규명하기 위함이다. 이번 연구에서는 완료시간, 에러 횟수, NASA-TLX 6가지 항목, 총 8가지 항목에 대해 분석하였으며 이를 통해 실제 키오스크 환경에서 청년층과 고령층의 사용성 차이를 파악하고, 주요 문제점을 파악하고자 하였다. 이원 혼합설계 분산분석은 도움말 제공 여부와 시각 및 청각적 정보 제공 방식을 조합한 네 가지 모달리티 조건과 두 연령 집단(청년층, 고령층)에 따른 효과를 검증하기 위해 수행되었다. 이때 집단 간 요인(between-subject factor)은 연령 집단, 집단 내 요인(within-subject factor)은 모달리티로 설정하였다.
분산분석을 수행하는 동안 구형성 가정(sphericity assumption)을 충족 여부를 확인하기 위해 Mauchly 검정을 실시하였다. 가정이 위배된 경우 따라 Greenhouse-Geisser 또는 Hyunh-Feldt 추정치를 사용하여 자유도(degrees of freedom) 수정하였다(Field, 2009). 본 분석에서는 연령 집단과 모달리티의 주효과를 각각 검증하였고, 두 요인의 교호 작용 효과도 함께 확인하였다. 사후 분석은 통계적으로 유의한 ANOVA 결과가 있을 경우에만 진행하였고, Bonferroni 교정을 적용하여 다중 비교를 수행하였다. 모든 통계적 분석은 SPSS Statistics 30 (IBM, USA)를 이용하여 진행하였고, 유의수준(α)은 0.05로 설정하였다.
3.1 Age group differences in current kiosk
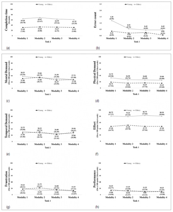
3.1.1 Civil affair documents machines
무인민원발급기 과업에 대해 연령 집단 간 t-test 분석 결과, 8가지 평가 항목 중 완료시간(Completion time), 에러 횟수(Error count), 노력(Effort) 항목에서 통계적으로 유의한 차이가 나타났으며, 고령층은 청년층에 비해 더 높은 값을 보였다(Table 5).
반면, 정신적 요구, 신체적 요구(Physical demand), 시간적 요구(Temporal demand), 좌절(Frustration), 성취도(Performance) 항목은 통계적으로 유의한 차이가 나타나지 않았다. 통계적으로 유의하지는 않았으나 모든 항목이 고령층이 청년층에 비해 더 높은 평균값을 보였다. 이는 고령층이 더 많은 인지적, 심리적 부담을 경험했음을 알 수 있다(Table 5).
|
|
Young (n = 20) Mean ± SD |
Older (n = 20) |
t |
p-value |
|
Completion time |
31.05±7.05 |
64.40±26.78 |
-5.386 |
< 0.001*** |
|
Error count |
0.35±0.99 |
1.20±1.40 |
-2.219 |
0.016* |
|
Mental demand |
31.00±20.88 |
38.25±32.54 |
-0.839 |
0.203 |
|
Physical demand |
18.75±17.91 |
19.00±19.91 |
-0.042 |
0.483 |
|
Temporal demand |
27.50±21.06 |
32.75±29.98 |
-0.641 |
0.263 |
|
Effort |
47.50±24.79 |
80.75±17.27 |
-4.922 |
< 0.001*** |
|
Frustration |
17.75±20.36 |
19.25±20.21 |
-0.234 |
0.408 |
|
Performance |
13.00±14.90 |
16.25±16.77 |
-0.648 |
0.26 |
|
Note: *p < 0.05, **p < 0.01, ***p < 0.001 |
||||
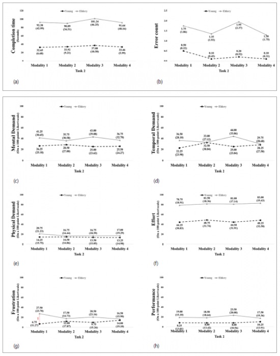
3.1.2 Fast food kiosk
패스트푸드 주문 과업에 대해 연령 집단 간 t-test 분석 결과, 8가지 평가 항목 중 신체적 요구(Physical demand) 항목을 제외한 모든 항목이 통계적으로 유의한 차이가 나타났으며, 고령층은 청년층에 비해 더 높은 값을 보였다(Table 6).
신체적 요구(Physical demand)는 통계적으로 유의한 차이를 보이지 않았지만, 청년층 평균 14.25 (SD: 15.75), 고령층 평균 20.75 (SD: 21.23)로 고령층이 더 높은 신체적 부담을 느낀 것으로 나타났다(Table 6).
|
|
Young (n = 20) |
Older (n = 20) |
t |
p-value |
|
Completion time |
32.65±6.68 |
90.85±42.88 |
-5.998 |
< 0.001*** |
|
Error count |
0.05±0.22 |
1.75±1.86 |
-4.058 |
< 0.001*** |
|
Mental demand |
26.25±25.18 |
41.25±30.65 |
-1.691 |
0.049* |
|
Physical demand |
14.25±15.75 |
20.75±21.23 |
-1.1 |
0.139 |
|
Temporal demand |
22.50±23.98 |
36.50±28.10 |
-1.695 |
0.049* |
|
Effort |
44.25±30.83 |
78.75±18.91 |
-4.226 |
< 0.001*** |
|
Frustration |
6.75±11.27 |
27.50±23.70 |
-3.536 |
< 0.001*** |
|
Performance |
8.25±13.01 |
19.00±15.10 |
-2.413 |
0.01* |
|
Note: *p < 0.05, **p < 0.01, ***p < 0.001 |
||||
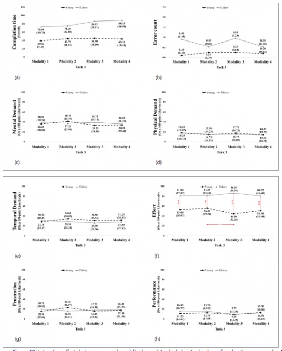
3.1.3 ATM (automated teller machine)
ATM 과업에 대해 연령 집단 간 t-test 분석 결과, 8가지 평가 항목 중 완료시간(Completion time), 에러 횟수(Error count), 노력(Effort) 항목에서 통계적으로 유의한 차이가 나타났으며, 고령층은 청년층에 비해 더 높은 값을 보였다(Table 7).
반면, 정신적 요구(Mental demand), 신체적 요구(Physical demand), 시간적 요구(Temporal demand), 좌절(Frustration), 성취도(Performance) 항목은 통계적으로 유의한 차이를 보이지 않았지만, 모든 항목이 청년층보다 고령층의 값이 더 높았다. 이는 고령층이 청년층에 비해 더 많은 작업 부하를 느꼈다는 것을 알 수 있다(Table 7).
|
|
Young (n = 20) Mean ± SD |
Older (n = 20) |
t |
p-value |
|
Completion
time |
39.06±7.13 |
73.09±30.75 |
-4.822 |
< 0.001*** |
|
Error count |
0.10±0.31 |
0.90±1.45 |
-2.418 |
0.012* |
|
Mental
demand |
36.00±25.63 |
38.00±32.01 |
-0.218 |
0.414 |
|
Physical
demand |
18.25±15.07 |
18.25±20.73 |
0 |
0.500 |
|
Temporal
demand |
27.75±23.37 |
30.50±28.05 |
-0.337 |
0.369 |
|
Effort |
53.00±28.07 |
81.00±17.67 |
-3.776 |
< 0.001*** |
|
Frustration |
15.50±22.00 |
19.75±19.02 |
-0.654 |
0.259 |
|
Performance |
11.25±14.41 |
16.25±16.77 |
-1.011 |
0.159 |
|
Note: *p < 0.05, **p < 0.01, ***p < 0.001 |
||||
3.2 Main effects of age group in two-way ANOVA
3.2.1 Civil affair documents machines
무인민원발급기 과업에서 연령 집단별 주효과 결과를 보면, 8가지 평가 항목 중 완료시간(Completion time), 에러 횟수(Error count), 노력(Effort) 항목에서 고령층이 청년층에 비해 유의하게 높은 값을 보였다(Table 8).
반면, 정신적 요구(Mental demand), 신체적 요구(Physical demand), 시간적 요구(Temporal demand), 좌절(Frustration), 성취도(Performance) 항목은 통계적으로 유의한 차이가 나타나지 않았지만, 좌절을 제외한 모든 항목에서 고령층이 청년층에 비해 더 높은 평균값을 보였다(Table 8).
|
|
Young (n = 20) |
Older (n = 20) |
F |
p-value |
η2 |
|
Completion
time |
31.94±6.85 |
64.43±23.07 |
64.814 |
< 0.001*** |
0.630 |
|
Error
count |
0.21±0.51 |
0.66±1.50 |
8.485 |
0.006** |
0.183 |
|
Mental
demand |
30.00±22.46 |
32.56±30.72 |
0.105 |
0.747 |
0.003 |
|
Physical
demand |
16.44±16.37 |
27.56±15.30 |
2.730 |
0.107 |
0.483 |
|
Temporal
demand |
27.38±23.88 |
27.56±27.19 |
0.001 |
0.980 |
0.000 |
|
Effort |
48.56±28.23 |
80.81±18.85 |
21.000 |
< 0.001*** |
0.356 |
|
Frustration |
17.19±20.82 |
14.94±14.87 |
0.203 |
0.655 |
0.005 |
|
Performance |
11.44±14.52 |
12.06±13.21 |
0.024 |
0.879 |
0.001 |
|
Note: *p < 0.05, **p < 0.01, ***p <
0.001 |
|||||
3.2.2 Fast food kiosk
패스트푸드 주문 과업에서 연령 집단별 주효과 결과를 보면, 다수의 평가 항목이 통계적으로 유의한 차이를 나타냈다. 완료시간(Completion time)과 에러 횟수(Error count) 항목은 고령층이 청년층에 비해 유의하게 높은 값을 보였다. 주관적 평가 항목 중 노력(Effort), 좌절(Frustration), 성취도(Performance) 항목이 통계적으로 유의한 차이가 나타났고, 고령층이 청년층에 비해 유의하게 더 높은 결과를 보였다(Table 9).
정신적 요구(Mental demand), 신체적 요구(Physical demand), 시간적 요구(Temporal demand) 항목은 통계적으로 유의하지 않았지만, 고령층이 청년층에 비해 더 높은 평균값을 보였다(Table 9).
|
|
Young (n = 20) |
Older (n = 20) |
F |
p-value |
η2 |
|
Completion
time |
34.28±8.32 |
93.84±42.69 |
66.084 |
< 0.001*** |
0.635 |
|
Error
count |
0.11±0.53 |
1.59±1.51 |
16.67 |
0.006** |
0.305 |
|
Mental
demand |
26.31±24.61 |
39.19±30.34 |
2.719 |
0.107 |
0.067 |
|
Physical
demand |
13.88±14.88 |
17.81±18.28 |
0.737 |
0.396 |
0.019 |
|
Temporal
demand |
27.06±26.45 |
35.81±29.47 |
1.523 |
0.225 |
0.039 |
|
Effort |
46.44±31.23 |
81.06±18.19 |
20.402 |
< 0.001*** |
0.349 |
|
Frustration |
10.63±16.08 |
20.50±19.90 |
4.962 |
0.032* |
0.115 |
|
Performance |
8.63±12.58 |
19.56±18.18 |
8.335 |
0.006** |
0.180 |
|
Note: *p < 0.05, **p < 0.01, ***p <
0.001 |
|||||
3.2.3 ATM (automated teller machine)
ATM 과업에서 연령 집단별 주효과 결과를 보면, 8가지 평가 항목 중 완료시간, 에러 횟수(Error count), 노력(Effort) 항목에서 고령층이 청년층에 비해 유의하게 높은 결과를 나타냈다(Table 10).
정신적 요구(Mental demand), 신체적 요구(Physical demand), 시간적 요구(Temporal demand), 좌절(Frustration), 성취도(Performance) 항목은 통계적으로 유의하지 않았지만, 신체적 요구와 시간적 요구를 제외한 모든 항목에서 고령층이 청년층에 비해 더 높은 평균값을 보였다(Table 10).
|
|
Young (n = 20) |
Older (n = 20) |
F |
p-value |
η2 |
|
Completion
time |
42.72±11.99 |
80.78±30.88 |
55.478 |
< 0.001*** |
0.593 |
|
Error
count |
0.20±0.52 |
0.74±1.51 |
7.907 |
0.008** |
0.172 |
|
Mental
demand |
36.00±25.85 |
37.50±31.15 |
0.034 |
0.855 |
0.008 |
|
Physical
demand |
16.25±14.85 |
15.75±15.99 |
0.012 |
0.912 |
0.000 |
|
Temporal
demand |
30.88±26.35 |
28.00±26.31 |
0.153 |
0.698 |
0.004 |
|
Effort |
51.19±30.04 |
82.31±15.87 |
19.530 |
< 0.001*** |
0.339 |
|
Frustration |
17.94±22.26 |
18.00±16.26 |
0.000 |
0.991 |
0.000 |
|
Performance |
11.69±15.65 |
13.56±14.65 |
0.221 |
0.641 |
0.006 |
|
Note: *p < 0.05, **p < 0.01, ***p <
0.001 |
|||||
3.3 Main effects of modality in two-way ANOVA
3.3.1 Civil affair documents machines
무인민원발급기 과업에서 모달리티별 주효과 분석 결과, 에러 횟수(Error count), 좌절(Frustration), 성취도(Performance) 항목은 통계적으로 유의한 차이를 보였다. 하지만, 완료시간(Completion time), 정신적 요구(Mental demand), 신체적 요구(Physical demand), 시간적 요구(Temporal demand), 노력(Effort) 항목은 통계적으로 유의하지 않은 결과를 보였다(Table 11 and Figure 5).
사후 분석 결과를 보면, 에러 횟수(Error count)와 좌절(Frustration)에서는 모달리티 간에 통계적으로 유의한 차이를 보이지 않았다. 성취도(Performance)에서는 시각 정보만 제공하고 도움말 기능이 없는 모달리티 1과 시각 정보와 청각 정보를 모두 제공하고, 도움말 기능이 없는 모달리티 3간의 차이가 통계적으로 유의미한 차이를 보였다(p < 0.05).
모달리티 1(시각 정보만을 제공)과 2(시각 정보와 도움말 기능 제공)을 비교하여 시각 정보만 제공되는 경우와 도움말 기능이 추가되었을 때의 차이를 비교한 결과, 통계적으로 유의하지 않았지만 완료시간과 노력 항목을 제외한 모든 항목에서 도움말 기능이 제공되었을 때 더 낮은 부하가 나타났다. 모달리티 3(시각 정보와 청각 정보 제공)과 4(시각 정보와 청각 정보, 도움말 기능 모두 제공)를 비교하여 시각 정보와 청각 정보가 모두 제공되는 경우에 도움말 기능이 추가되었을 때의 차이를 비교한 결과, 통계적으로 유의하지 않았지만 시간적 요구와 성취도를 제외한 모든 항목에서 도움말 기능이 제공되었을 때 더 낮은 부하를 보였다(Figure 5).
모달리티 1(시각 정보만을 제공)과 3(시각 정보와 청각 정보만을 제공)을 비교하여 시각 정보만 제공되는 경우 청각 정보가 추가로 제공되었을 때의 차이를 비교한 결과, 통계적으로 유의하지 않았지만 완료시간과 노력 항목을 제외한 모든 항목에서 더 낮은 부하가 나타났다. 모달리티 2(시각 정보와 도움말 기능 제공)와 4(시각 정보와 청각 정보, 도움말 기능 모두 제공)를 비교한 결과, 시각 정보와 도움말 기능이 제공될 경우에 청각 정보가 추가로 제공될 때, 모든 항목에서 더 낮은 부하를 보였다(Figure 5).
|
|
F |
p-value |
η2 |
|
Completion
time |
0.931 |
0.428 |
0.024 |
|
Error
count |
3.687 |
0.031* |
0.088 |
|
Mental
demand |
1.770 |
0.173 |
0.045 |
|
Physical
demand |
3.018 |
0.051 |
0.074 |
|
Temporal
demand |
1.770 |
0.173 |
0.045 |
|
Effort |
0.156 |
0.915 |
0.004 |
|
Frustration |
2.806 |
0.043* |
0.069 |
|
Performance |
4.216 |
0.011* |
0.100 |
|
Note: *p < 0.05, **p < 0.01, ***p <
0.001 |
|||
3.3.2 Fast food kiosk
패스트푸드 주문 과업에서 모달리티별 주효과 분석 결과를 보면, 모든 항목에서 통계적으로 유의한 차이가 나타나지 않았다(Table 12 and Figure 6).
모달리티 1(시각 정보만을 제공)과 2(시각 정보와 도움말 기능 제공)을 비교한 결과, 통계적으로 유의하지 않았지만 모달리티 2가 시간적 요구와 노력 항목을 제외한 모든 항목에서 더 낮은 부하가 나타났다. 모달리티 3(시각 정보와 청각 정보 제공)와 4(시각 정보와 청각 정보, 도움말 기능 모두 제공)를 비교하여 시각 정보와 청각 정보가 모두 제공되는 경우에 도움말 기능이 추가되었을 때의 차이를 비교한 결과, 통계적으로 유의하지 않았지만 신체적 요구와 노력, 좌절을 제외한 모든 항목에서 도움말 기능이 제공되었을 때 더 낮은 부하를 보였다(Figure 6).
모달리티 1(시각 정보만을 제공)과 3(시각 정보와 청각 정보만을 제공)을 비교하여 시각 정보만 제공되는 경우 청각 정보가 추가로 제공되었을 때의 차이를 비교한 결과, 통계적으로 유의하지 않았지만 신체적 요구와 좌절 항목에서 더 낮은 부하가 나타났다. 모달리티 2(시각 정보와 도움말 기능 제공)와 4(시각 정보와 청각 정보, 도움말 기능 모두 제공)를 비교한 결과, 시각 정보와 도움말 기능이 제공될 경우에 청각 정보가 추가로 제공될 때, 완료시간과 노력, 좌절 항목을 제외한 모든 항목에서 더 낮은 부하를 보였다(Figure 6).
|
|
F |
p-value |
η2 |
|
Completion
time |
0.802 |
0.481 |
0.021 |
|
Error count |
1.208 |
0.310 |
0.031 |
|
Mental demand |
0.315 |
0.815 |
0.008 |
|
Physical demand |
0.498 |
0.650 |
0.013 |
|
Temporal demand |
0.717 |
0.527 |
0.019 |
|
Effort |
1.306 |
0.276 |
0.033 |
|
Frustration |
0.261 |
0.854 |
0.007 |
|
Performance |
0.309 |
0.750 |
0.008 |
|
Note: *p < 0.05, **p < 0.01, ***p <
0.001 |
|||
3.3.3 ATM (automated teller machine)
ATM 과업에서 모달리티별 주효과 분석 결과를 보면, 8가지 항목 모두 통계적으로 유의한 차이가 나타나지 않았다(Table 13 and Figure 7).
에러 횟수, 정신적 요구, 신체적 요구 항목에서는 시각 정보와 청각 정보, 도움말 기능을 모두 제공하는 모달리티 4의 부하가 가장 낮았으며, 시간적 요구, 노력, 좌절, 노력 항목에서는 시각 정보와 청각 정보를 모두 제공하는 모달리티 3의 부하가 가장 낮았다(Figure 7).
모달리티 1(시각 정보만을 제공)과 2(시각 정보와 도움말 기능 제공)를 비교한 결과, 시각 정보만 제공되는 경우에 도움말 기능이 추가되었을 때 통계적으로 유의하지 않았지만 에러 횟수와 신체적 요구 항목에서 더 낮은 부하가 나타났다. 모달리티 3(시각 정보와 청각 정보 제공)와 4(시각 정보와 청각 정보, 도움말 기능 모두 제공)를 비교하여 시각 정보와 청각 정보가 모두 제공되는 경우에 도움말 기능이 추가되었을 때의 차이를 비교한 결과, 통계적으로 유의하지 않았지만 에러 횟수와 정신적 요구, 신체적 요구 항목에서 도움말 기능이 제공되었을 때 더 낮은 부하를 보였다(Figure 7).
모달리티 1(시각 정보만을 제공)과 3(시각 정보와 청각 정보만을 제공)을 비교하여 시각 정보만 제공되는 경우 청각 정보가 추가로 제공되었을 때의 차이를 비교한 결과, 통계적으로 유의하지 않았지만 완료시간, 에러 횟수, 신체적 요구 항목을 제외한 모든 주관적 부하 항목에서 더 낮은 부하가 나타났다. 모달리티 2(시각 정보와 도움말 기능 제공)와 4(시각 정보와 청각 정보, 도움말 기능 모두 제공)를 비교한 결과, 시각 정보와 도움말 기능이 제공될 경우에 청각 정보가 추가로 제공될 때 완료시간 항목을 제외한 모든 항목에서 더 낮은 부하를 보였다(Figure 7).
|
|
F |
p-value |
η2 |
|
Completion
time |
2.437 |
0.064 |
0.060 |
|
Error
count |
0.638 |
0.592 |
0.017 |
|
Mental
demand |
0.480 |
0.678 |
0.012 |
|
Physical
demand |
2.461 |
0.097 |
0.061 |
|
Temporal
demand |
0.308 |
0.802 |
0.008 |
|
Effort |
0.733 |
0.534 |
0.019 |
|
Frustration |
0.337 |
0.799 |
0.009 |
|
Performance |
1.840 |
0.147 |
0.046 |
|
Note: *p < 0.05, **p < 0.01, ***p <
0.001 |
|||
3.4 Interaction effects (age ⅹ modality)
3.4.1 Civil affair documents machines
무인민원발급기 과업에서 연령 집단과 모달리티 간의 교호 작용 효과 결과를 보면, 모든 항목에서 통계적으로 유의하지 않았다(Table 14 and Figure 8).
고령층은 완료시간과 노력 항목을 제외한 모든 항목에서 시각 정보만을 제공하는 모달리티 1의 부하가 가장 높았고, 노력 항목을 제외한 모든 항목에서 시각 정보와 청각 정보, 도움말 기능을 모두 제공하는 모달리티 4의 부하가 가장 낮았다. 청년층은 에러 횟수와 신체적 요구를 제외한 모든 항목에서 시각 정보와 도움말 기능을 제공하는 모달리티 2에서 가장 높은 부하가 나타났고, 에러 횟수, 신체적 요구, 노력과 좌절 항목에서 시각 정보와 청각 정보, 도움말 기능을 모두 제공하는 모달리티 4에서 부하가 가장 낮았다.
통계적으로 유의한 결과가 나타나지 않았지만 고령층은 모든 항목에서 모달리티 1(시각 정보만 제공)에 비해 모달리티 4(시각, 청각 정보와 도움말 기능 제공)의 부하가 감소하였고, 대부분의 항목에서 도움말 기능을 제공하거나 청각 정보를 추가로 제공했을 때 부하가 감소하는 결과를 보였다. 청년층은 전반적으로 모달리티에 따른 부하 차이가 크게 나타나지 않았고, 도움말 기능보다 청각 정보를 추가로 제공받았을 때 더 낮은 부하를 보였다.
통계적으로 유의하지 않았지만 모든 모달리티 조건에서 고령층은 청년층에 비해 완료시간, 에러 횟수, 신체적 요구와 노력 항목에서 큰 부하 차이를 보였다.
|
|
F |
p-value |
η2 |
|
Completion
time |
0.438 |
0.726 |
0.011 |
|
Error count |
3.687 |
0.266 |
0.034 |
|
Mental
demand |
0.438 |
0.726 |
0.011 |
|
Physical
demand |
0.470 |
0.640 |
0.012 |
|
Temporal
demand |
1.755 |
0.175 |
0.044 |
|
Effort |
0.725 |
0.530 |
0.019 |
|
Frustration |
1.216 |
0.307 |
0.031 |
|
Performance |
1.696 |
0.181 |
0.043 |
|
Note: *p < 0.05, **p < 0.01, ***p <
0.001 |
|||
3.4.2 Fast food kiosk
패스트푸드 주문 과업에서 연령 집단과 모달리티 간의 교호 작용 효과 결과를 보면, 8가지 평가 항목 중 좌절(Frustration) 항목만 통계적으로 유의한 차이를 보였다(Table 15 and Figure 9).
사후 분석 결과, 좌절(Frustration)에서 시각 정보만을 제공하는 모달리티 1에서 고령층과 청년층 간에 p < 0.01 수준으로 유의한 차이가 나타났다(Figure 9).
고령층은 신체적 요구, 노력, 좌절을 제외한 모든 항목에서 시각 정보와 도움말 기능을 제공하는 모달리티 3에서 부하가 가장 높았고, 에러 횟수, 시간적 요구, 좌절, 성취도 항목에서 시각 정보와 청각 정보, 도움말 기능을 모두 제공하는 모달리티 4의 부하가 가장 낮았다. 청년층은 정신적 요구, 신체적 요구, 시간적 요구, 노력에서 시각 정보와 청각 정보를 제공하는 모달리티 2의 부하가 가장 높았다.
통계적으로 유의하지 않았지만 고령층은 대부분 항목에서 모달리티 3(시각 정보와 청각 정보 제공)에 비해 모달리티 2(시각 정보와 도움말 기능 제공)와 모달리티 4(시각, 청각 정보와 도움말 기능 제공)의 부하가 감소하는 경향을 보였고, 청각 정보를 추가로 제공했을 때보다 도움말 기능을 제공했을 때 부하가 더 낮게 나타났다. 청년층은 대부분의 항목에서 모달리티 1(시각 정보만을 제공)보다 모달리티 2(시각 정보와 도움말 기능 제공)의 부하가 증가하였고, 도움말 기능보다 청각 정보를 추가로 제공하는 모달리티에서 더 낮은 부하를 보였다.
통계적으로 유의한 차이는 나타나지 않았으나, 모달리티 3(시각 정보와 청각정보를 제공) 조건에서 고령층과 청년층 간의 격차가 대부분의 항목에서 가장 크게 나타났다. 모든 모달리티 조건에서 고령층은 청년층보다 높은 부하를 보였으며, 이러한 경향은 모든 측정 항목에서 일관되게 관찰되었다.
|
|
F |
p-value |
η2 |
|
Completion
time |
0.438 |
0.897 |
0.005 |
|
Error
count |
0.836 |
0.477 |
0.022 |
|
Mental
demand |
0.915 |
0.436 |
0.024 |
|
Physical
demand |
0.323 |
0.771 |
0.008 |
|
Temporal
demand |
2.182 |
0.103 |
0.054 |
|
Effort |
0.201 |
0.895 |
0.005 |
|
Frustration |
3.702 |
0.025* |
0.089 |
|
Performance |
0.754 |
0.483 |
0.019 |
|
Note: *p < 0.05, **p < 0.01, ***p <
0.001 |
|||
3.4.3 ATM (automated teller machine)
ATM 과업에서 연령 집단과 모달리티 간의 교호 작용 효과 결과를 보면, 8가지 평가 항목 중 노력(Effort) 항목만 통계적으로 유의한 차이를 보였다(Table 16 and Figure 10).
사후 분석 결과, 노력(Effort)은 시각 정보만을 제공하는 모달리티 1에서 청년층과 고령층의 부하 차이가 p < 0.001 수준으로 유의하였고, 시각 정보와 도움말 기능을 제공하는 모달리티 2에서는 청년층과 고령층의 부하 차이가 p < 0.01의 수준으로 유의하였다. 시각 정보와 청각 정보를 제공하는 모달리티 3에서는 청년층과 고령층의 부하 차이가 p < 0.001 수준으로 유의하였고, 시각, 청각 정보를 제공하고 도움말 기능을 제공하는 모달리티 4에서도 청년층과 고령층의 부하 차이가 p < 0.001 수준으로 유의하였다. 청년층에서 시각 정보와 도움말 기능을 제공하는 모달리티 2와 시각 정보와 청각 정보를 제공하는 모달리티 3의 부하 차이가 p < 0.05의 수준으로 유의하였다(Figure 10).
고령층은 에러 횟수, 정신적 요구, 노력, 좌절 항목에서 시각 정보와 청각 정보를 제공하는 모달리티 3의 부하가 가장 높았고, 에러 횟수, 정신적 요구, 신체적 요구, 노력 항목에서 시각 정보와 청각 정보, 도움말 기능을 모두 제공하는 모달리티 4의 부하가 가장 낮았다. 청년층은 대부분 항목에서 시각 정보와 청각 정보를 제공하는 모달리티 2의 부하가 가장 높았다.
통계적으로 유의하지 않았지만 고령층은 대부분의 항목에서 모달리티 1(시각 정보만을 제공)에 비해 모달리티 2(시각 정보와 도움말 기능 제공)와 모달리티 4(시각 정보, 청각 정보와 도움말 기능 제공)의 부하가 감소하는 경향을 보였고, 도움말 기능을 제공했을 경우와 청각 정보를 추가로 제공했을 경우 모두 부하가 낮아지는 결과를 보였다. 청년층은 모달리티 1(시각 정보만을 제공)에 비해 모달리티 2(시각 정보와 도움말 기능 제공)의 부하가 상승하는 경향을 보였고, 도움말 기능을 제공받았을 때보다 청각 정보를 추가로 제공받았을 때 부하가 감소하였다.
|
|
F |
p-value |
η2 |
|
Completion
time |
1.13 |
0.340 |
0.029 |
|
Error count |
0.939 |
0.424 |
0.024 |
|
Mental
demand |
0.570 |
0.620 |
0.015 |
|
Physical
demand |
0.233 |
0.773 |
0.006 |
|
Temporal
demand |
0.619 |
0.591 |
0.016 |
|
Effort |
4.423 |
0.006** |
0.104 |
|
Frustration |
1.468 |
0.227 |
0.037 |
|
Performance |
0.619 |
0.591 |
0.016 |
|
Note: *p < 0.05, **p < 0.01, ***p <
0.001 |
|||
본 연구는 청년층과 고령층을 대상으로 한 연령 집단과 모달리티 조건을 통한 키오스크 사용성 차이를 분석하였다. 현재 키오스크에 대해서 분석한 결과, 고령층은 모든 과업(무인민원발급기, 패스트 푸드 주문, ATM)에서 완료시간과 에러 횟수, 노력 항목에서 청년층에 비해 통계적으로 유의하게 높았고, 주관적 작업 부하 모두 청년층보다 고령층이 더 높은 점수를 보였다(Tables 5-7). 연령에 따른 주효과 분석 결과, 세 가지 과업 모두 고령층이 청년층에 비해 더 높은 점수를 기록했고, 완료시간, 에러 횟수, 노력 항목에서 통계적으로 유의한 차이가 나타났다(Tables 8-10). 모달리티에 따른 주효과 분석 결과, 시각 정보만을 제공했을 때 보다 시각 정보와 청각 정보를 모두 제공했을 때 대부분의 항목에서 더 낮은 부하가 나타났다(Figures 5-7). 연령과 모달리티 간 교호작용 분석 결과, 통계적으로 유의하지 않았지만 고령층은 세 과업 모두 에러 횟수 항목에서 시각과 청각 정보를 모두 제공하고, 실시간 도움말 기능을 포함한 모달리티 4에서 가장 낮은 값을 기록했다(Figures 8-10).
현재 일상 생활에서 접할 수 있는 키오스크 형태인 모달리티 1에 대해 t-검정을 실시한 결과, 무인민원발급기, 패스트푸드 주문, ATM 과업에서 완료시간과 에러 횟수가 청년층에 비해 고령층이 통계적으로 유의하게 높은 값을 나타냈다(Tables 5-7). 또한, 주관적 부하 항목 중 노력에서 세 과업 모두 청년층보다 고령층이 통계적으로 유의하게 높은 값을 보였다. 통계적으로 유의하지 않았지만 주관적 부하 항목 모두에서 청년층보다 고령층이 더 높은 점수를 기록했다. 이러한 결과는 연령이 높아질수록 반응 시간과 인지 능력이 저하되고, 모든 인지 영역에서 수행 능력이 감소하는 특성에 기인한 것으로 보인다(Lee et al., 2012; Sung et al., 2019).
이원 혼합설계 분산분석을 통해 연령에 따른 주효과 분석을 실시한 결과, 세 가지 과업에서 모두 완료시간, 에러 횟수, 노력 항목에서 통계적으로 유의한 차이를 보였다(Tables 8-10). 통계적으로 유의하지 않았지만 주관적 부하 항목을 비교한 결과, 세 가지 과업 모두 청년층보다 고령층이 상대적으로 높은 평균값을 보였다. Kim et al. (2020) 및 Kim (2021)의 연구에 따르면, 고령층은 디지털 정보 역량이 낮고, 디지털 기술 학습 기회가 상대적으로 적어, 키오스크와 같은 디지털 장치에 대해 부정적인 태도를 보이는 경향이 있었다. 본 연구는 고령층이 키오스크 작업을 수행하는데 더 큰 작업 부하를 느끼고, 더 많은 시간과 오류가 발생했음을 밝혔는데, 이는 기존 연구와 일치한다.
연령에 대한 주효과 분석 결과, 패스트푸드 주문 과업은 무인민원발급기와 ATM 과업에 비해 통계적으로 유의한 차이가 나타난 항목의 수가 더 많았다(Tables 8-10). 이러한 결과는 패스트푸드 주문 키오스크가 무인민원발급기와 ATM보다 더 최근에 도입된 시스템이라는 점과 관련이 있다. 패스트푸드 주문 키오스크는 고령층에게 비교적 새로운 기술로, 이들은 해당 기술에 대한 친숙도가 상대적으로 낮다. Hwang and Kim (2019)의 연구에 따르면, 국내 패스트푸드점 중 롯데리아는 2014년 키오스크를 처음 도입했고, 맥도날드는 2015년에 도입하여 현재 전체 매장 중 절반 이상이 키오스크를 운용하고 있다. 반면, 무인민원발급기와 ATM은 이미 일상적인 서비스로 자리 잡은 지 오래되어 고령층이 비교적 쉽게 접근하고 사용할 수 있다. 무인민원발급기는 1998년 8월 서울 강남구에서 최초 도입된 후 2002년부터 전 자치단체에서 이를 도입하여 활용하고 있다(Ministry of the Interior and Safety, 2025). ATM은 외환은행이 1975년 은행자동화 기기를 도입한 것이 최초로, 3년 후 본격적으로 상용화되었다(Kim, 2012). 따라서 고령층이 패스트푸드 주문 키오스크를 사용할 때 기술적 친숙도 부족으로 인지적 부담이 증가할 수 있다.
이원 혼합설계 분산분석을 통해 모달리티에 대한 주효과를 비교한 결과, 통계적으로 유의하지 않았지만 시각 정보만을 제공했을 때(모달리티 1)보다 시각 정보와 청각 정보를 모두 제공했을 때(모달리티 3) 대부분의 항목에서 더 낮은 부하가 나타났다(Figures 5-7). 이는 키오스크 화면에 나타나는 방대한 텍스트를 시각 채널만을 통해 처리할 경우 인지적 과부하가 발생할 수 있지만, 시각적 자료와 내레이션을 동시에 제공받았을 때 정보 처리 효율이 향상되고, 인지적 부하가 감소할 수 있음을 보여준다. 또한 시각 채널과 청각 채널을 동시에 활용할 때 학습자가 중요한 정보를 선택하고, 처리하는 능력이 향상된 결과를 보여준다(Mayer and Moreno, 2003). 따라서 본 시각 정보와 청각 정보를 병행 제공한 방식이 인지적 부담을 분산시키고, 부하를 줄일 수 있음을 시사한다.
연령과 모달리티 간 교호작용 분석 결과, 통계적으로 유의하지 않았지만 고령층은 세 과업 모두 에러 횟수 항목에서 시각과 청각 정보를 모두 제공하고, 실시간 도움말 기능을 포함한 모달리티 4에서 가장 낮은 값을 기록했다(Figures 8-10). 이는 Mayer and Moreno (2003)가 보고한 모달리티 효과와 일치하며, 시각 및 청각 정보를 병행 제공함으로써 고령층의 인지적 부하를 감소시키고 에러 횟수를 감소시키는 효과가 있음을 의미한다. 또한, 실시간 도움말 기능은 과업 수행 중 필요한 정보를 효율적으로 처리하도록 지원하며, 인지적 부하를 최적화하여 부하 관리에 탁월하다는 기존 연구와 일치한다(Gkintoni et al., 2025). 이는 실시간 도움말 기능을 통해 사용자가 과업에 필요한 정보를 적시에 제공받음으로써, 불필요한 인지적 노력을 줄이고 과업 수행 정확도를 높이는 데 기여할 수 있음을 의미한다.
본 연구는 고령층과 청년층을 대상으로 정보 제공 방식(모달리티)에 따른 키오스크 사용성 차이를 실증적으로 분석하였다. 본 연구 결과를 토대로 다음과 같은 주요 시사점을 도출할 수 있었다. 첫째, 최근 도입된 키오스크 기술은 고령층에게 낮은 기술 친숙도를 유발하여 인지적 부담을 증가시키고, 수행 시간과 오류율을 높이는 경향을 보였다. 둘째, 시각/청각 정보를 병행 제공하는 멀티모달 환경은 고령층의 인지적 부하를 완화하고 수행 정확도를 향상시켰다. 셋째, 실시간 도움말 기능은 과업 수행 중 필요한 정보를 즉각적으로 제공함으로써 불필요한 인지적 노력을 줄이고 정보 처리 효율을 높였다. 종합적으로, 멀티모달 정보 제공과 실시간 도움말 기능을 통합한 설계는 고령층을 포함한 사용자의 인지적 부담을 줄이고 학습 및 수행 효율을 향상시키는 데 효과적임을 확인하였다. 따라서 향후 키오스크 시스템 및 디지털 학습 환경 설계에서는 연령, 경험 수준 등 사용자 특성과 과업 특성을 반영한 체계적이고, 사용자 중심적 접근이 요구된다.
본 연구의 공헌에도 불구하고 몇 가지 한계가 존재한다. 첫째, 본 연구는 주관적 부하와 완료시간, 오류 횟수 등 객관적 지표를 중심으로 실험을 진행하였으나, 생리적 반응이나 실제 학습 성과를 포함한 종합적 평가가 부족하였다. 둘째, 키오스크의 형태가 점점 다양화되고 있음에도 불구하고, 본 연구는 특정 디지털 기기와 상황에 한정되어 다양한 디지털 장치를 사용하는 고령층이 겪는 어려움을 충분히 반영하지 못하였다. 이에 따라 향후 연구에서는 다양한 디지털 장치와 과업을 포함한 실험을 통해 고령층의 반응을 종합적으로 분석하고, 그에 따른 개선 방안을 제시할 필요가 있다.
본 연구는 청년층과 고령층을 대상으로 키오스크 사용성 차이를 연령 집단과 모달리티 조건을 중심으로 분석하였다. 연구 결과, 고령층은 무인민원발급기, 패스트푸드 주문, ATM 과업 모두에서 완료시간, 에러 횟수, 노력 항목이 청년층에 비해 통계적으로 유의하게 높았으며, 주관적 작업 부하 또한 전반적으로 더 높게 나타났다. 특히 패스트푸드 주문 과업에서는 다른 과업에 비해 더 많은 항목에서 통계적으로 유의한 차이가 확인되었는데, 이는 해당 시스템이 상대적으로 최근에 도입되어 고령층에게 낮은 기술적 친숙도를 제공하기 때문으로 해석된다. 또한, 고령층은 모든 과업에서 시각 및 청각 정보를 병행 제공하고, 도움말 기능을 제공할 경우 에러 횟수가 감소하는 결과를 보였다. 이는 시각 정보와 청각 정보를 병행 제공한 방식과 도움말 제공 기능이 인지적 과부하를 완화시키며, 실시간 정보 처리 효율을 높이고 불필요한 인지적 노력을 감소시킴으로써 과업 수행 정확도를 향상시키는 것으로 확인되었다.
본 연구는 고령층을 포함한 다양한 연령대의 사용자를 고려한 사용자 중심적 키오스크 설계 방향을 제시하였으며, 이는 향후 고령사회에서의 디지털 접근성 개선과 포용적 서비스 환경 구축에 중요한 기초 자료로 활용될 수 있다.
References
1. Barnard, Y., Bradley, M.D., Hodgson, F. and Lloyd, A.D., Learning to use new technologies by older adults: Perceived difficulties, experimentation behaviour and usability, Computers in Human Behavior, 29(4), 1715-1724, 2013.
Google Scholar
2. Chung, H., Ergonomics Issues in Improving Kiosk Accessibility for Older Adults, Master's thesis, Seoul National University, 2022.
Google Scholar
3. Field, A., Discovering Statistics Using SPSS (3rd ed.), SAGE Publications, 2009.
4. Gkintoni, E., Antonopoulou, H., Sortwell, A. and Halkiopoulos, C., Challenging cognitive load theory: The role of educational neuroscience and artificial intelligence in redefining learning efficacy, Brain Sciences, 15(2), 203, 2025.
Google Scholar
5. Hagen, S. and Sandnes, F.E., Toward accessible self-service kiosks through intelligent user interfaces, Personal and Ubiquitous Computing, 14(8), 715-721, 2010.
Google Scholar
6. Hart, S.G. and Staveland, L.E., Development of NASA-TLX (Task load index): results of empirical and theoretical research, In P.A. Hancock and N. Meshkati (Eds.), Advances in Psychology, 52, 139-183, 1988.
Google Scholar
7. Hwang, S.W. and Kim, H.S., A Study on the User Experience of Unmanned Order Payment Kiosk in Fast Food Stores, Journal of Digital Contents Society, 20(8), 1491-1501, 2019.
Google Scholar
8. Jeong, M. and Yu, E., Improving the Kiosk User Experience: The Psychological Factors of the Elderly, Archives of Design Research, 35(3), 2022.
Google Scholar
9. Kim, H.J., Kiosk Service Failure: An Exploratory Study on Seniors' Struggles with Kiosk Service, Journal of Consumer Studies, 32(4), 135-158, 2021.
10. Kim, J.K., Yang, J.J. and Lee, Y.K., How do self-service kiosks improve covid-19 pandemic resilience in the restaurant industry?, Sustainability, 15(13), 10168, 2023.
Google Scholar
11. Kim, K.W., ATM pioneer company: "Ah, the old days.", Hankyoreh, 2012, https://www.hani.co.kr/arti/economy/economy_general/ 521453.html (retrieved September 15, 2025).
12. Kim, S.K., Shin, H.R. and Kim, Y.S., Study on Relation Between Education Level and Overdependence on Smartphone for Middle-aged and Elderly People: Focused on Mediator Effect of Willingness to Participate in Smartphone Overdependence Prevention Program, Journal of Social Science, 31(1), 31-46, 2020.
Google Scholar
13. Kim, Y. and Nam, Y., A Study on the Elderly-friendly UX Design for Accessibility Improvement of Fast Food Kiosks -Focusing on KFC, Journal of Integrated Design Research, 20(4), 39-57, 2021.
14. Lee, H.W., Kim, S.K., Lee, K.E., Chung, E.J. and Park, J.Y., The Age-Related Changes in Cognitive Function, The Korean Journal of Cognitive and Biological Psychology, 24(2), 127-148, 2012.
15. Lim, J. and Park, S., Unmanned Order User Experience Factors of the Silver Generation through Usability Evaluation, Korean Society of Design, 5(2), 2022.
16. Mayer, R.E. and Moreno, R., Nine ways to reduce cognitive load in multimedia learning, Educational Psychologist, 38(1), 43-52, 2003.
Google Scholar
17. Ministry of the Interior and Safety, https://www.mois.go.kr/frt/sub/a06/b16/automaticSystem/screen.do (retrieved September 15, 2025).
18. Nam, J., Kim, S. and Jung, Y., Elderly Users' Emotional and Behavioral Responses to Self-Service Technology in Fast-Food Restaurants, Behavioral Sciences, 13(4), 2023.
Google Scholar
19. Park, J.Y., Elderly customers face difficulties with self-ordering kiosks, The Korea Herald, 2019, http://www.koreaherald.com/ view.php?ud=20190213000567 (retrieved September 25, 2025).
20. Shin, J.H., Lee, M.J. and Lee, W.S., Development of Universal Design Guidelines for a Touchscreen Kiosk: Focused on Display Size and Graphical Design Components, Journal of the Ergonomics Society of Korea, 41(3), 193-220, 2022.
21. Shin, Y.A., Kim, H.K., Kim, K.Y., Kang, M.J., Ryou, K.J. and Park, T.J., A Study on the Eye Tracking to Improve the Usability of Kiosks for Seniors, Journal of the Ergonomics Society of Korea, 42(3), 269-287, 2023.
22. Sung, Y.J., Lee, W.W., Seo, G.H., Lim, J.S., Jeon, S.W. and Yang, Y.A., The Correlations between Cognitive Ability and KIOSK Usage Ability of the Elderly, The Journal of Korean Aging Friendly Industry Association, 11(2), 135-142, 2019.
PIDS App ServiceClick here!